Обратные вызовы Keras за 2 минуты
Что такое обратный вызов Keras?
Из документации Keras:
Обратный вызов — множество функций, применяемых на данной стадии тренировки. Вы можете использовать их, чтобы посмотреть на внутреннее состояние...
Шаблоны функционального программирования. Рецепты
Эти рецепты будут наиболее полезны для тех, кто переходит от функциональных библиотек, таких как ramda, к использованию алгебраических типов данных (ADT). Мы будем использовать...
Как обеспечить возможность обнаружения для совместно используемых компонентов
Компоненты привносят модульность в дизайн приложений. Модульность, в свою очередь, обеспечивает возможность повторного использования, благодаря которой можно создавать приложения без необходимости каждый раз изобретать...
Разворачиваем декораторы. Часть 2
Предыдущие части: Часть 1
Вспомним о чем шла речь
Предыдущий пост я писал про основы декораторов в Python. Для тех, кто не читал её, в двух...
Хитрости на Python
Болтовня ничего не стоит. Покажите мне код.
Эти приемы на Python весьма незаурядны и крайне полезны.
Обмен значениями
Создание одной строки из всех элементов списка
Поиск самого частого значения...
Обработка ошибок в Golang с помощью Panic, Defer и Recover
В Golang предусмотрен простой интерфейс для ошибок. Любая ошибка, возвращаемая в Golang, следует такому определению интерфейса:
type error interface {
Error() string
}
Создание сообщения об...
MVVM на Android с компонентами архитектуры + библиотека Koin
Введение
С MVVM (Model-View-ViewModel) процесс разработки графического интерфейса для пользователей делится на две части. Первая — это работа с языком разметки или кодом GUI. Вторая — разработка бизнес-логики или...
Как работает функция Defer в Golang
В Golang, благодаря появлению целого ряда новых средств и инструментов, которыми не могут похвастать другие языки серверного программирования, реализована очень мощная и гибкая модель...
Python-библиотеки интерпретации моделей ML
Все эти библиотеки устанавливаются через pip и сопровождаются подробной документацией. Акцент в них делается на визуализацию.
Yellowbrick
Yellowbrick — это расширение scikit-learn, которое позволяет использовать полезные и красивые...
Как улучшить скорость сборки проектов Android
Gradle всегда славился медлительностью и ресурсоемкостью, однако с помощью небольших изменений в конфигурации можно значительно повысить скорость сборки проекта.
Метрика из сканирования сборки до и...
Хитрости объектно-ориентированного программирования. Часть 2: Закон Деметры
Это мини-серия статей по написанию поддерживаемого объектно-ориентированного кода без лишней нервотрепки.
Предыдущие части: Часть 1
Единственный закон в программировании — это отсутствие законов. А закон Деметры — это, скорее, рекомендации, а...
Получаем данные Open Street Map в Python
Случалось ли вам работать над проектом, где были необходимы картографические данные определенной местности? Например, сколько шоссе пересекают город или сколько ресторанов расположено в заданной...
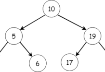
Бинарное дерево на Go для новичка
Введение
В этой статье мы сосредоточимся на том, как деревья бинарного поиска могут быть реализованы на Go и почему они предпочтительнее линейных структур данных, таких...
Малоизвестные функции JavaScript
Считается, что JavaScript — самый простой язык, чтобы начать и самый сложный язык, чтобы полностью освоить. Не могу не согласиться, так как JS очень старый и...
Что такого в языке Go?
Сегодня я хочу поговорить не о чем ином как о Golang. Как и в случае с Node.js, термин Golang встречается мне несколько раз в...
Java для начинающих: часть 4 из 4
Часть 1, Часть 2, Часть 3, Часть 4
Данные статьи помогут легко и быстро разобраться в концепциях и программировании на Java. Даже при нулевых знаниях...
Go: стратегия встраивания и ограничение
ℹ️ В статье используется Go 1.13.
Процесс встраивания состоит в замене вызова функции на тело этой функции. И хотя такая оптимизация увеличивает размер двоичного кода,...
Шпаргалка по регулярным выражениям. В примерах
Регулярные выражения (regex или regexp) очень эффективны для извлечения информации из текста. Для этого нужно произвести поиск одного или нескольких совпадений по определённому шаблону...
Как создать простую браузерную игру с помощью Phaser 3 и TypeScript
Большую часть своего времени я занимаюсь backend-разработкой, поэтому я не могу похвастаться большим опытом во frontend. Какое-то время назад у меня возникло желание создать...
Полиморфизм с интерфейсами в Golang
Интерфейсы в Golang работают в совершенно особенной манере в сравнении с интерфейсами на других языках серверного программирования. Прежде чем углубляться в тему, начнём с...
Как быстро найти проблемы с Python-типами через Pytype
Если вы работаете над большим проектом на Python или предпочитаете лаконичную и понятную базу кода, то Pytype станет для вас отличным помощником.
Python — это отличный язык...
Максимальная производительность Pandas Python
В этой статье мы докажем, что использование Nuclio и RAPIDS, бесплатной open-source платформы для ускорения обработки данных от NVIDIA, может значительно увеличить производительность Python.
Я...
Функциональное программирование со Scala: введение
Если вас интересует функциональное программирование, в этой статье вы найдете несколько важных аспектов этого направления и особенностей его работы в Scala.
Классические программы порождают концептуальные...
Эффективное использование словаря (C#) как альтернатива оператору If
Всё больше наших коллег на практике предпочитают избегать применения операторов if. Эти условия, по их мнению, усложняют и прибавляют багов в наши приложения.
Но условия...
Распознавание лиц с помощью OpenCV
Читая очередную статью по OpenCV, я обнаружил, что в этой библиотеке есть собственная нейросеть для распознавания лиц с высокой точностью.
Я решил опробовать OpenCV и...
Овладей Python, создавая реальные приложения. Часть 7
Приложение для сбора данных с Flask и PostgerSQL
Предыдущие части: Часть 1, Часть 2, Часть 3, Часть 4, Часть 5 и Часть 6
Работа с базой данных и запросами пугает некоторых (а...
Как создать HTML-таблицу и PDF с Node и Google Puppeteer
В этой статье мы узнаем о возможностях встроенного инструмента утилиты Node под названием fs (file system).
В документации fs говорится:
Модуль fs предоставляет API для взаимодействия...
Почему Go прекрасно подходит для DevOps
Go — это язык программирования с открытым исходным кодом, история которого началась в Google примерно десять лет назад. Сегодня Go стремительно приобретает популярность как язык будущего....
Корутины: исключения
Часть 1, Часть 2
Мы, разработчики, обычно тратим много времени на полировку наилучшего сценария работы нашего приложения. Однако не менее важно обеспечить надлежащий пользовательский опыт,...
Java для начинающих. Часть 1 из 4
Часть 1, Часть 2, Часть 3, Часть 4
Данные статьи помогут легко и быстро разобраться в концепциях и программировании на Java.
Даже при нулевых знаниях о...
7 советов по улучшению анализа данных в Python
#1: Pandas Profiling
Преимущества этого инструмента очевидны. Анимация ниже создана с помощью вызова метода df.profile_report():
С помощью этого инструмента можно с легкостью устанавливать и импортировать пакет...
PEG парсеры и Python
Несколько лет назад кто-то спросил, имеет ли смысл переключать Python на парсер PEG. Или на грамматику PEG. Не помню точно. Тогда я ещё не...
Распознавание лиц с помощью CoreML и ARKit
Создаём приложение с одним окном
Для начала нам понадобится создать iOS проект «single view app» (прим: автор работает в Xcode).
Теперь у нас есть проект. Мы обойдёмся...
Ловушка для горутины
Горутина — это эффективный и легковесный механизм многопоточного выполнения, популярный среди разработчиков Go. С помощью семантики горутин программисты добиваются эффективного выполнения параллельных процессов в программе. Впрочем,...
Чистый код в Android
Прежде чем начать писать код, стоит разобраться в том, как им управлять, и как сделать его масштабируемым.
Как сказал Дядя Боб в своей книге:
Вы читаете...
Анализ аудиоданных с помощью глубокого обучения и Python (часть 2)
Предыдущая часть: Часть 1
Сверточные нейронные сети (CNN) схожи с обычными нейронными сетями: они состоят из нейронов с обучаемыми весами и сдвигами. Каждый нейрон получает...
Python — идеальный инструмент для любой проблемы
Размышления о моей первой программе на Python.
Размышления это всегда помогающее (а иногда и развлекающее) занятие. Из ностальгических соображений, конечно, если можно испытывать ностальгию по...
Java для начинающих: часть 2 из 4
Часть 1, Часть 2, Часть 3, Часть 4
Данные статьи помогут легко и быстро разобраться в концепциях и программировании на Java. Даже при...
Как изменить PYTHONPATH на Windows
Вы читаете эту статью, потому что пользуетесь:
Windows 10+Python 3.3+Anaconda3
… и хотите изменить PYTHONPATH.
Краткая инструкция
Откройте C:Users<your_username>Anaconda3Libsite-packagesСоздайте файл python37.pthИзмените файл и добавьте в него строку C:\Users\<your_username>\my_module
Подробное...
Хитрости объектно-ориентированного программирования. Часть 4: Шаблон Starter для Android
Это мини-серия статей по написанию поддерживаемого объектно-ориентированного кода без лишней нервотрепки.
Предыдущие части: Часть 1, Часть 2, Часть 3.
Создание
Обычно мы создаем объекты в одном месте. Это может...
Понятие о виртуальных средах в Python
Введение в виртуальные среды Python с использованием VR
Нет, вам не нужны очки виртуальной реальности (VR) для чтения этой статьи. Будет достаточно внимательности и интереса...
Как избежать утечек памяти с помощью Kotlin
Я выступал на MobOS, где рассказывал о написании и автоматизации тестирования производительности на Android. Часть своей речи я посвятил обнаружению утечек памяти в процессе...
Java для начинающих: часть 3 из 4
Часть 1, Часть 2, Часть 3, Часть 4
Данные статьи помогут легко и быстро разобраться в концепциях и программировании на Java. Даже при нулевых знаниях...
Релиз Koin 1.0.0✨
Так, так, так… вот оно! Уважаемые пользователи Koin, настал момент релиза нашей первой стабильной версии Koin. Спустя чуть больше года после начальной версии, мы...
Автоматический импорт библиотек в IPython или Jupyter Notebook
Если вы — частый пользователь IPython или Jupyter Notebooks и вам надоело постоянно импортировать одни и те же библиотеки, то попробуйте этот способ:
Перейдите к ~/.ipython/profile_defaultСоздайте папку...
Метапрограммирование на Go
Большинство современных сайтов реализуют некий MV*-фреймворк как формально, так и неформально. Если вы пишете много кода, скорее всего, вы пишете много моделей снова и...
Лучшие инструменты для разработки приложений под Android
Android предлагает разработчикам массу возможностей: это универсальная, открытая платформа, используемая миллионами пользователей по всему миру, с удивительно простой в использовании площадкой для распространения приложений....
Изучение Blockchain на Python
Неделю назад я поняла, почему испытывала неприязнь к Bitcoin. У меня не было его, и я не понимала как он работает. Я начала изучать...
Знакомство с объектно-ориентированным программированием в Python: классы и экземпляры
Новичок в ООП? Узнай, как создавать классы и экземпляры в Python
Про объектно-ориентированное программирование в Python писали многие. Большинство специалистов по обработке данных, в том числе...
Изменение типа с помощью typealias
Когда определения типов отвлекают от значения вашего кода из-за нечитабельности, выразительности или просто длины, у Kotlin есть подходящая функция: typealias! Typealias позволяет давать альтернативные...
Анимации с Matplotlib
Используем библиотеку matplotlib для создания интересной анимации
Изображение имитации дождя выполнено с помощью библиотеки Matplotlib, известной как прародитель пакетов для визуализации данных на python. Matplotlib...
С Kotlin приведение стало еще удобнее
Приведение — это необходимое зло в программировании. Мы обожаем его ненавидеть. В Kotlin выполнять приведение намного приятнее, чем в Java. Читайте ниже об очень известном, малопонятном...
Инструкция для новичка: как программировать дополненную реальность для Smart Glass
Обзор
В этом туториале я поделюсь основной информацией об умных очках. Затем, используя пример проекта с хакатона, проведу вас через весь процесс. А начнем мы...
Подробнее о функциях высшего порядка
В JavaScript, функции являются “функциями первого класса”, соответственно они могут:
храниться в переменной, объекте или массиве.
передаваться как аргументы в другую функцию.
и даже...
Как прокачать навык отладки
В какой-то момент, каждый из нас сталкивается с ошибками при написании кода. Собственно, процесс разработки в том и состоит. При возникновении ошибки, вы теряетесь...
Как ваша программа использует память
Программирование на языках, которые позволяют взаимодействовать с памятью на более низком уровне, как например в C и C++, иногда доставляет немало проблем, с которыми...
Как сделать кастомные шорткаты для Siri
Шорткаты в Сири
Это новая эппловская фича для iOS 12. Ее анонсировали во время приветственной речи на WWDC 2018, и вот уже этой осенью ею можно...
Как пересчитать слова в массиве используя JavaScript
Считаем слова в массиве
Дано:
let array = ;
Задача: посчитать все слова в данном массиве.
Способ №1: используем цикл for
function getWordCount() { let map = {}; for...
Обучение Inception в Google распознаванию пользовательских изображений
Ищете краткое руководство по обучению классификатора пользовательских изображений? С помощью Inception API от Google Brain с этой задачей можно справиться быстрее, чем выпить чашку...
Хитрости объектно-ориентированного программирования. Часть 5: Правило бойскаутов
Всегда оставляйте лагерь чище, чем вы его застали
Это мини-серия статей по написанию поддерживаемого объектно-ориентированного кода без лишней нервотрепки.
Предыдущие части: Часть 1, Часть 2, Часть 3 и Часть 4.
Энтропия
Энтропия — это отсутствие порядка...
Экспериментируем с…
Пагинация — достаточно известная, но трудная в реализации функция. Поэтому я решил разработать демонстрационное приложение на основе Android Paging Library с пагинацией, основанной на пользовательских запросах...
Экспериментируем с битбордом и битовыми операциями в Unreal 4
Идея прототипа игры
Главный герой Таичи застрял в мире клеток. Он пытается найти выход и может передвигаться только, если мы поможем ему раскрасить клетки, указав...
Функциональные и гибкие Shell скрипты
Шелл скрипты vs python/Perl
Кто вообще пишет шелл скрипты в 2019’ом? Хороший вопрос. Что же, я пишу. ¯_(ツ)_/
На это есть веские причины, они описаны здесь...
Dynamic Feature Modules: навигация
В последнее время моя команда начала проходить испытание по модуляризации нашего приложения. Одна из первых вещей, за которые мы взялись основательно, была навигация, а...
11 важнейших консольных команд для разработчика
Командная строка сильно облегчает нам жизнь, позволяя легко автоматизировать несколько рутинных задач и повысить плавность хода всего процесса. Вместо того, чтобы постоянно кликать повсюду...
Как и для чего использовать нативную библиотеку сериализации Kotlin
Вывод из статьи
В конце статьи вы узнаете, почему команда Kotlin создала новую библиотеку сериализации, несмотря на наличие многих продвинутых решений, таких как Moshi и Gson....
3 классные малоизвестные функции Pandas
Я и раньше писал о Pandas по очевидным причинам — это изумительная библиотека для анализа данных и даже для визуализации. Предыдущая статья была о функциях, которые...
Как создавать анимированные графы в Python
Matplotlib и Seaborn — вполне приличные Python-библиотеки для создания превосходных графиков. Но такие графики получаются статичными, и крайне трудно подобрать для них красивое представление данных или...
Как создать Telegram бота с помощью Python
Представьте, что у вас есть бот в мессенджере, который присылает вам случайно выбранную картинку с собачкой, когда вам захочется. Звучит здорово, да? Давайте сделаем...
Проблема и решение: присвоение имени файлу
Проблема: стандартный изменяемый объект
Но сначала разберёмся: что такое изменяемый объект в Python? Изменяемые объекты — это такие объекты, которые можно поменять. Список, множество и словарь — всё это...
Обнаружение объектов с помощью цветовой сегментации изображений в Python
Начинаем
Если у вас уже есть Jupyter Notebook или IDE, с помощью которых можно запускать установленные Python и OpenCV, то сразу переходите к разделу Выполнение.
Инструменты
Наш...
Разворачиваем декораторы. Часть 1
Предпосылки
Для начала я должен убедиться, что все одинаково хорошо разбираются в теме. Если вам хорошо известны такие понятия как: переменные, параметры, возвращение значений переменной...
Лучшие iOS SDK инструменты за 2019 год
В 2019 году появилось множество приложений для iOS, которые однозначно стоит добавить на главный экран вашего устройства. Например, Mobike для бесстанционного проката велосипедов, Blinkist...
Автоматизация создания файлов для нового экрана с плагином для Android Studio
Введение
Приходилось ли вам работать над проектом со сложной архитектурой, в котором для создания нового экрана нужно добавить несколько новых файлов с определенным содержимым? Например,...
Выражение when в Kotlin
Рассмотрим особенности использования выражения when в Kotlin.
Базовый случай использования
На фрагменте ниже приведен базовый случай использования выражения when:
fun myFunction(valueToTest: Any) {
when...
Повторное использование UI в Android - 5 главных ошибок
За последние пару месяцев у меня была возможность пересмотреть кое-какие реальные интерфейсы Groupon с целью вывести качество таких интерфейсов на новый уровень. Мы начали...
Команда Git Rerere — автоматизируйте решения для устранения конфликтов слияния
rerere - сокращение от "reuse recorded resolution" (повторное использование сохраненных разрешений конфликтов). С помощью этой команды Git запоминает, каким образом был разрешен конфликт, чтобы при...
Изучение нового языка для работы с данными
В постоянно меняющейся экосистеме инструментов для анализа данных вам придется часто изучать все новые и новые языки, чтобы идти в ногу со временем и...
Разностный алгоритм Майерса и наблюдаемые свойства в Kotlin - как их объединить, чтобы облегчить жизнь разработчика
Посмотрите на анимацию ниже. Это группа разноцветных элементов, которые при нажатии кнопки начинают перемещаться. С точки зрения разработчика, эти элементы размещаются внутри RecyclerView с...
Тестирование для не тестировщиков
Тестирование является одним из ключевых этапов разработки. Вне зависимости от того, над каким проектом вы работаете, тестирование — это залог того, что вы сможете поставлять качественные...
Python — это суперсила!
Компьютеры — это круто. Они дают вам возможность претворять в жизнь модели и идеи, которые сидят в вашей голове, ожидая, когда их выпустят в реальный мир.
Я...
Как мне не удалось совладать с устаревшим кодом
Я очень хорошо помню свой первый опыт работы с устаревшим кодом. Я была младшим разработчиком и совершенно не представляла, что делаю.
Само приложение было чем-то...
8 показателей эффективности классификации
Оценка эффективности классификатора - непростая задача. Чтобы справиться с ней, понадобится несколько показателей. Предлагаем доступное описание 8 главных метрик.
Секреты оператора delete
Оператор delete - старая функция языка JavaScript. Как следует из ее названия, она призвана что-то удалять. Но что именно подлежит удалению в JavaScript? Предлагаем вместе поискать ответ на этот вопрос!
Как обучить модель квантового МО, используя данные из CSV?
Область квантового машинного обучения не сразу поддается начинающим исследователям данных из CSV. Предлагаем поучиться не на теоретических примерах (которые зачастую не имеют практической пользы), а на реальном опыте специалистов QML.
Зачем изучать программирование?6 способов освоить кодинг дома
Интерес к программированию растет день ото дня. В марафоне по овладению навыками кодинга участвуют как взрослые, так и дети.Появляются языки программирования для различных категорий...


















































































